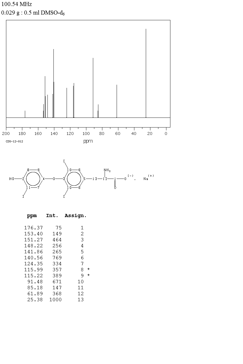
名称:3,3',5-三碘-L-甲状腺原氨酸钠盐
英文名称:3,3',5-Triiodo-L-thyronine Sodium Salt
分子式:C15H12I3NO4Na
分子量:672.96 g/mol
标签:三碘代甲状腺素钠盐,Liothyronine,T3,O-(4-Hydroxy-3-iodophenyl)-3,5-diiodo-L-tyrosine sodium salt
编号系统
55-06-1
MFCD00002594
200-223-5
暂无
8179867
24889594
物性数据
1. 性状:结晶。
2. 密度(g/mL,25/4℃): 未确定
3. 相对蒸汽密度(g/mL,空气=1):未确定
4. 熔点(ºC): 未确定
5. 沸点(ºC,常压):未确定
6. 沸点(ºC,5.2kPa):未确定
7. 折射率:未确定
8. 闪点(ºC):205
9. 比旋光度(º):未确定
10. 自燃点或引燃温度(ºC):未确定
11. 蒸气压(kPa,25ºC):未确定
12. 饱和蒸气压(kPa,60ºC):未确定
13. 燃烧热(KJ/mol):未确定
14. 临界温度(ºC):未确定
15. 临界压力(KPa):未确定
16. 油水(辛醇/水)分配系数的对数值:未确定
17. 爆炸上限(%,V/V):未确定
18. 爆炸下限(%,V/V):未确定
19. 溶解性: 未确定。
毒理学数据
暂无
生态学数据
暂无
分子结构数据
暂无
计算化学数据
1、 疏水参数计算参考值(XlogP):
2、 氢键供体数量:2
3、 氢键受体数量:5
4、 可旋转化学键数量:5
5、 互变异构体数量:3
6、 拓扑分子极性表面积(TPSA):95.6
7、 重原子数量:24
8、 表面电荷:0
9、 复杂度:408
10、同位素原子数量:0
11、确定原子立构中心数量:1
12、不确定原子立构中心数量:0
13、确定化学键立构中心数量:0
14、不确定化学键立构中心数量:0
15、共价键单元数量:2
性质与稳定性
暂无
贮存方法
本品应密封于0℃以下干燥避光保存。
合成方法
暂无
用途
生化研究。组织培养基。
安全信息
暂无
暂无
S22 S24/25
暂无
文献
暂无
备注
暂无


